Enlighten Manager
비즈니스 | Enphase Energy
5억명 이상의 게이머가 신뢰하는 안드로이드 게임 플랫폼 BlueStacks으로 PC에서 플레이하세요.
개요
The power of Enlighten in the palm of your hand. Enlighten Manager provides sophisticated mobile tools to monitor and manage Enphase PV systems.
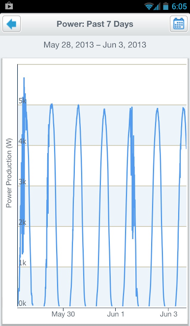
Enlighten Manager enables full performance monitoring and management of multiple systems from any online device.
- Run detailed performance analysis and reports.
- Compare production across multiple systems against previous days, weeks or months.
- Identify and diagnose performance variations.
- Monitor installations in progress.
Enlighten Manager enables full performance monitoring and management of multiple systems from any online device.
- Run detailed performance analysis and reports.
- Compare production across multiple systems against previous days, weeks or months.
- Identify and diagnose performance variations.
- Monitor installations in progress.
PC에서 Enlighten Manager 플레이해보세요.
-
BlueStacks 다운로드하고 설치
-
Google Play 스토어에 로그인 하기(나중에 진행가능)
-
오른쪽 상단 코너에 Enlighten Manager 검색
-
검색 결과 중 Enlighten Manager 선택하여 설치
-
구글 로그인 진행(만약 2단계를 지나갔을 경우) 후 Enlighten Manager 설치
-
메인 홈화면에서 Enlighten Manager 선택하여 실행