matematik Formülleri

matematik Formülleri

Eğitim | BONGAERTZ VINICIUS JOHANNIS 79

500M + oyuncunun güvendiği Android Oyun Platformu, BlueStacks ile PC'de oynayın.

Sayfa Değiştirilme tarihi: Sep 9, 2023

Play Math Formulas - Offline on PC

Maths Formulas is very useful maths formulas that serve as a quick reference. You will not forget maths formulas any more. This app is everything you need. Perfect app for college and high school students. You will find everything about mathematics in it. Regular review of these formulas/concepts will definitely help improve your grades.

★This app include :

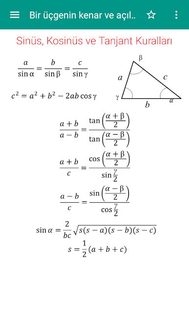
1. Geometry
2. Algebra
3. Trigonometry
4. Equations
5. Analytic Geometry
6. Differentiation
7. Integration
8. Matrix
9. Probability and statistics
10. Units Conversion.
11. Math Tricks.
12.Tools

This app also has many tools to calculate the geometric shapes or find the roots of equations. Users can also share any formulas with friends by many ways: email, message, facebook ......So we hope this math formula app will help you to learn math or study math or know math formula easily.

And you do not need internet connection to use this math formula app because this app works offline.

- Multiple languages supported: English, French, Vietnamese, Chinese, Spanish, Japanese, German, Korean, Russian, Portuguese, Italian, Greek, Thai, Indonesian, Arabic, Hindi, Bengali, Malay, Turkish, Dutch, Polish, Romanian, Persian, Ukrainian, Azerbaijani, Swedish, Hungarian, Serbian, Khmer, Hebrew, Bulgarian and Czech (32 languages totally). Users can change between English and other languages by setting in the language button.

matematik Formülleri oyununu PC'de oyna. Başlamak çok kolay.

  • BlueStacks'i PC'nize İndirin ve Yükleyin

  • Play Store'a erişmek için Google girişi yapın ya da daha sonraya bırakın.

  • Sağ üst köşeye matematik Formülleri yazarak arayın.

  • matematik Formülleri uygulamasını arama sonuçlarından indirmek için tıklayın.

  • (iEğer Adım 2'yi atladıysanız) matematik Formülleri uygulamasını yüklemek için Google'a giriş yapın.

  • Oynatmaya başlatmak için ekrandaki matematik Formülleri ikonuna tıklayın.

Videoyu İzle